1° Bimestre
Prof ° José Luiz Pastore Mello
Geometria da esfera: da Terra ou GPS.
Matemática do GPS,sistema de geo posicionamento,de localização de postos sobre a esfera terrestre.
Postos localizados pela latitude e longitude.
O Meridiano de Greenwich é utilizado como referencia para o fuso horário.
A latitude é a referência norte e sul e a longitude leste e oeste.
vejamos um exemplo:
A cidade de São Paulo no Mapa do globo terrestre. 23°32 sul 46°38 oeste.
Abaixo veremos a partir de uma esfera a distancia de um ponto A e o ponto B.
Suponhamos que seja a distancia entre a cidade de São Paulo e a cidade de Lisboa.
É necessário que traçamos uma linha em cima dos dois pontos ,que está representada em vermelho,essa linha é a distancia mais curta entre os dois pontos.
A circunferência máxima que está em preto,que passa por A e B tem 360°
Se medirmos a distancia de A e B e tivermos os ângulos,conseguimos medir a distancia entre os dois pontos.
A latitude é a referência norte e sul e a longitude leste e oeste.
vejamos um exemplo:
A cidade de São Paulo no Mapa do globo terrestre. 23°32 sul 46°38 oeste.
Abaixo veremos a partir de uma esfera a distancia de um ponto A e o ponto B.
Suponhamos que seja a distancia entre a cidade de São Paulo e a cidade de Lisboa.
É necessário que traçamos uma linha em cima dos dois pontos ,que está representada em vermelho,essa linha é a distancia mais curta entre os dois pontos.
A circunferência máxima que está em preto,que passa por A e B tem 360°
Se medirmos a distancia de A e B e tivermos os ângulos,conseguimos medir a distancia entre os dois pontos.
Distancia calculada pelo Tempo.
Nesta figura podemos observar um satélite,enviando ondas de radio para a Terra.
É necessário medir o tempo em um relógio atômico,e preciso saber a velocidade que a onda de radio percorre do satélite até a Terra,que é a velocidade da luz,cerca de 300 mil km por segundo.
O tempo que a onda saiu do satélite e demorou para chegar a Terra está em vermelho.
A velocidade da luz está circulado em azul.
Circulado de amarelo é a distancia do satélite sobre um ponto da Terra.
Teorema das quatro esferas.
Se quatro superfícies esféricas de centros não coplanares se intersectam,estão essas intersecções se dá a um único ponto.
Vaja o exemplo:
1° satélite.
2° Satélite.
O raio do 2° satélite ,mais a esfera da Terra e o 1° satélite,vão produzir dois pontos.Essa é a itersecção de dois pontos,por três esferas.
3° Satélite.
Os três satélites mais a esfera da Terra vão determinar um único ponto.
Para demonstra isso usaremos a geometria junto com a álgebra,usaremos coordenadas cartesianas ,eixo X,Y e Z,neste caso estamos falando da dimensão em 3D.
Neste exemplo o ponto de origem é o=(0,0,0).
Se queremos calcular a distancia entre os pontos P=(X,Y,Z) e o plano cartesiano que está em C=(A,B,C)
Se igualarmos a distancia a um numero,valor numérico real positivo,ela é igualada um valor constante,mapiamos todos os pontos de uma esfera,está circulado em vermelho.
R é o numero real positivo, r em referencia ao raio da esfera.
Em verde equação reduzida de uma esfera
Em azul temos a equação geral de uma circunferência.
A letra K representa :
No teorema das quatro esfera, cada uma pode ser modelada por uma equação semeante a essa.
Neste exemplo podemos substituir as letra i,por numeração pra identificar as esferas.
Dividiremos as quaro equações por dois para sumir o sobre dois.
A primeira equação multiplicaremos por -1.
Como a primeira equação foi multiplicada por -1,foram trocados todos os sinais dessa equação.
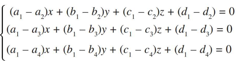
Ao somarmos a 1° equação com a 2°,depois a 1° com a 3° e a 1° com a 4°obtemos o esquema descrito abaixo.
Ouve uma redução de quatro equações para três.
Essas equações são de plano cartesiano,temos três planos e queremos mostrar que a intersecção desses planos chegue a um ponto.
Possibilidades de intersecção entre três planos.
No caso do GPS fazendo manipulações algébricas,ele se reduz a um sistema três equações e três incógnitas cuja solução é unica e representada pela primeira figura em vermelho,intersecção de três planos,se dando em um único ponto.
No sistema de geo posicionamento temos 24 satélites em orbita em torno a Terra,qualquer ponto da terra recebe pelo menos informações de quatro satélites,essas informações produzem a intersecção das esferas,elas possuem centros não coplanares,a intersectação terá apenas um ponto de localização da Terra.
No sistema GPS quanto mais satélites melhor para a localização exata,geralmente temos quatro satélites em torno de cada ponto,mas a ocasiões que podem chagar a dez satélites,isso aumenta muito a precisam dos pontos.

























Nenhum comentário:
Postar um comentário